秦皇岛87户家庭通过公租房申领资格审核
搜狐焦点网秦皇岛站 2024-03-13 10:34:29
用手机看
扫描到手机,新闻随时看
扫一扫,用手机看文章
更加方便分享给朋友
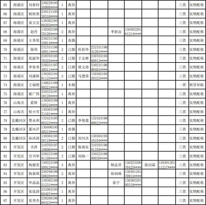
秦皇岛市保障性住房事务中心关于对秦皇岛市2024年度公示期2024年3月13日至2024年3月22日,共10天,公示期间若发现问题可直接向我中心举报。附:2024年第2批保障性住房申请家庭资格审核合格家庭公示…
根据秦皇岛市人民政府《秦皇岛市城市区公共租赁住房申请条件》(秦政办字【2020】6号)的有关规定,我中心对海港区申请的75户、开发区申请的7户、山海关区申请的2户、北戴河区3户;共计87户公共租赁住房申请家庭进行了资格复核。现将复核合格人员名单予以公示(名单见附件),敬请社会各界监督。
公示期2024年3月13日至2024年3月22日,共10天,公示期间若发现问题可直接向我中心举报。公示期满无异议或有异议经复核仍为合格的家庭,录入我市住房保障业务管理信息系统进行轮候,不合格的做退卷处理。
秦皇岛市保障性住房事务中心
2024年3月13日
附:2024年第2批保障性住房申请家庭资格审核合格家庭公示名单
来源:秦皇岛市保障性住房事务中心
声明:本文由入驻焦点开放平台的作者撰写,除焦点官方账号外,观点仅代表作者本人,不代表焦点立场。


